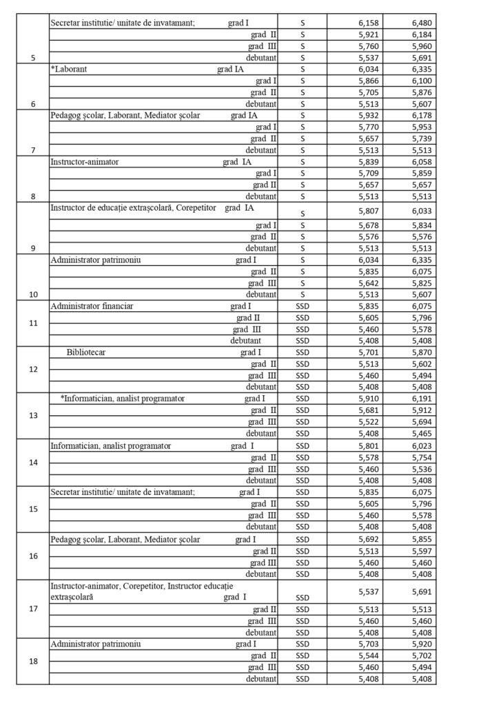
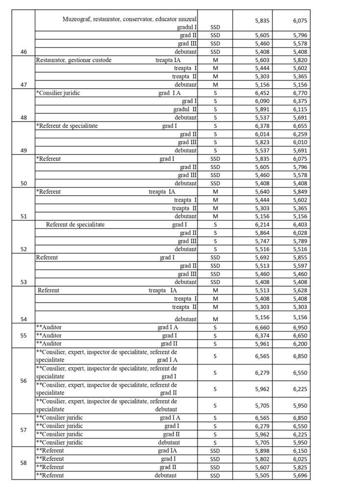
Salariile profesorilor în 2024. Noi modificări de ultim moment la grila de salarizare | Banii în plus pe care ar urma să-i primească cadrele didactice
Publicat la 14:00 28 Dec 2023
Salariile profesorilor în 2024. Noi modificări de ultim moment la grila de salarizare | Banii în plus pe care ar urma să-i primească cadrele didactice
Sursa foto: edupedu.ro Foto 1/11