În acest an, aproximativ 120.000 de bilete la tratament balnear pentru pensionari vor fi asigurate prin Casa Naţională de Pensii Publice (CNPP).
Guvernul a aprobat actul normativ privind bugetul alocat, precum şi modul de acordare, distribuire şi decontare a biletelor la tratament balnear asigurate de CNPP pentru pensionari.
"Suma aprobată în vederea asigurării de tratament balnear pensionarilor şi persoanelor asigurate în sistemul public de pensii, persoanelor asigurate pentru accidente de muncă şi boli profesionale şi beneficiarilor unor legi cu caracter reparatoriu a fost majorată faţă de anul 2022, de la 229.000.000 lei la 300.000.000 lei", se arată într-un comunicat al ministerului.
Astfel, în unităţile de tratament balnear aflate în proprietatea Casei Naţionale de Pensii Publice va fi asigurat un număr de maximum 60.420 de bilete de tratament, repartizate pe maximum 19 serii de trimitere, cu o durată de 16 zile.
Citeşte şi: Ce pensie primește un român la bătrâneţe, dacă nu a muncit nicio zi. Statul îţi dă nişte bani
![]()
![]()
La acestea se adaugă şi biletele de tratament balnear contractate cu alte unităţi de profil, până la nivelul sumelor prevăzute cu această destinaţie în bugetul asigurărilor sociale de stat pe anul 2023.
Pot solicita bilete de tratament balnear pensionarii şi asiguraţii sistemului public de pensii, iar un procent de maximum 15% din numărul total al biletelor va fi acordat, gratuit, beneficiarilor unor legi speciale cu caracter reparatoriu, precum şi persoanelor care au suferit accidente de muncă sau boli profesionale.
Vezi şi: Cât costă să cumperi trei ani de vechime la pensie, de la 1 ianuarie 2023
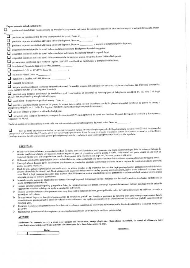
Cererea pentru acordarea acestor biletelor de tratament balnear pentru pensionari poate fi descărcată de pe internet. De asemenea, documentul care conţine criteriile de acordare a acestor bilete de tratament.
Vezi model cere bilete tratament balnear în galeria foto de mai sus
Cum beneficiază pensionarii de tratament balnear gratuit
a) pensionari de invaliditate, în cadrul programului de recuperare întocmit de medicul expert al asigurărilor sociale conform art. 122 alin. (2) lit. a) din Legea nr. 263/2010 privind sistemul unitar de pensii publice, cu modificările şi completările ulterioare;
b) persoane beneficiare de drepturi stabilite în baza prevederilor Decretului-lege nr.118/1990, privind acordarea unor drepturi persoanelor persecutate din motive politice de dictatura instaurată cu începere de la 6 martie 1945, precum şi celor deportate în străinătate ori constituite în prizonieri, republicat, precum şi persoanele care au calitatea de luptător în rezistenţa anticomunistă, stabilită în temeiul dispoziţiilor Ordonanţei de Urgenţă a Guvernului nr.214/1999, cu modificările şi completările ulterioare ;
c) persoane beneficiare de drepturi stabilite în baza prevederilor Ordonanţei Guvernului nr.105/1999 privind acordarea unor drepturi persoanelor persecutate de către regimurile instaurate în România cu începere de la 6 septembrie 1940 până la 6 martie 1945, din motive etnice, republicată;
d) persoane ale căror drepturi sunt stabilite prin Legea nr. 44/1994 privind veteranii de război, precum şi unele drepturi ale invalizilor şi văduvelor de război, republicată, cu modificările şi completările ulterioare;
e) persoane beneficiare de drepturi stabilite în baza prevederilor Legii nr. 49/1999 privind pensiile I.O.V.R., cu modificările şi completările ulterioare;
f) persoane ale căror drepturi sunt stabilite prin Legea nr. 448/2006 privind protecţia şi promovarea drepturilor persoanelor cu handicap, cu modificările şi completările ulterioare;
g) persoane care beneficiază de bilete de tratament balnear, cure balneoclimaterice potrivit art. 21 alin. (2), art. 22 și art. 24 din Legea nr.346/2002 privind asigurarea pentru accidente de muncă şi boli profesionale, republicată, cu modificările și completările ulterioare, cărora li s-a stabilit de către medicul expert al asigurărilor sociale din cadrul caselor teritoriale de pensii, program individual de recuperare sau li s-a emis o recomandare medicală de către medicul curant.
h) persoane ale căror drepturi sunt stabilite prin Hotărârea Guvernului nr. 757/2008 pentru aprobarea acordării biletelor de tratament balnear, în mod gratuit, salariaţilor care lucrează în mediu radioactiv – zonele I şi II de expunere la radiaţii, la prospectarea, explorarea, exploatarea, prepararea minereului de uraniu, precum şi la conservarea şi închiderea perimetrelor miniere.
Acte necesare pentru obţinerea unui bilet de tratament balnear
Pentru a se putea înscrie în vederea obţinerii unui bilet de tratament, potenţialul beneficiar depune la sediul casei teritoriale de pensii cererea tip, urmând ca restul documentelor să fie ataşate la momentul eliberării biletului.
Documentele necesare la eliberarea biletului sunt detaliate în capitolul D din Criteriile de acordare a biletelor de tratament balnear prin sistemul organizat și administrat de CNPP, aprobate prin Ordinul Președintelui CNPP nr. 141/16.03.2021 și care este publicat pe site-ul CNPP pentru fiecare categorie de beneficiar.
De exemplu în cazul pensionarilor documentele necesare sunt:
- cererea tip de acordare a biletului de tratament;
- document de plată (după caz, talonul privind drepturile de pensie din alte sisteme neintegrate sistemului public de pensii, în original sau copie care se va prezenta la momentul eliberării biletului);
- declaraţie pe propria răspundere că nu realizează alte venituri din pensie din alte sisteme neintegrate sistemului public de pensii,cu excepţia persoanei care depune talonul privind plata acestor drepturi care se va prezenta la momentul eliberării biletului);
- biletul de trimitere - formular cu regim special, unic pentru serviciile medicale de recuperare-reabilitare acordate de către societăţile de turism balnear şi de recuperare, eliberat de către medicul de familie sau medicul de specialitate, aflat în relaţii contractuale cu casele de asigurări de sănătate (copie, cu prezentarea actului original care se va prezenta la momentul eliberării biletului), informează Casa de pensii.
Când mă pot pensiona - este o întrebare care îi interesează pe mulţi români, fie că încă lucrează şi urmează să iasă la pensie, fie că deja s-au pensionat, dar anticipat.
Acum puteţi afla în mai puţin de un minut data la care vă puteţi pensiona, fie că e vorba de pensie anticipată, pensie anticipată parţial sau pensie pentru limita de vârstă.
Tot ce aveţi de făcut este să intraţi pe site-ul Casei Naţionale de Pensii Publice, să vă completaţi data naşterii şi sexul, apoi aflaţi data pensionării (Explicaţii în Galeria foto).
Veste tristă pentru 1,8 milioane de români născuţi după 1968. Ei vor fi puternic afectaţi la pensii. Un calcul simplu arată problemele cu care aceştia se vor confrunta.
Problemele demografice ale României se vor acutiza în următorii 20-30 de ani, declinul sistemului de pensii urmând să înceapă în anul 2030, când o mare parte din "decreței" vor ieși la pensie.
În prezent, numărul angajaților cu carte de muncă este puțin mai mare decât cel al pensionarilor, ceea ce conferă o oarecare stabilitate.
Concret, numărul de salariaţi activi este la acest moment de 5,71 milioane persoane, potrivit datelor furnizate de către Inspecţia Muncii. Dintre aceştia, 4,5 milioane de angajaţi sunt din mediul privat, iar 1,2 milioane lucrează la stat.
Vezi şi: Pensii mai mari pentru unii români. Categoriile care vor primi o indemnizație de 50% din pensie
